
好消息,元琛科技子公司維納物聯表面增強拉曼散射(SERS)襯底上新啦!其采用Au、Ag、Au/Ag合金貴金屬襯底材料,經過可批量化生產的物理制造工藝,構建出微納級結構陣列,具有極高的活性、均一性以及結構穩定性,在633nm、785nm 等激發波長下可實現大部分目標物質分子的痕量(ppb)檢測。
SERS襯底產品實物
01、產品參數
1)敏感材料:Au、Ag、Au/Ag合金。
2)形貌結構:微納分級式陣列結構
3)激發波長:784nm(推薦)、633nm(推薦)、532nm 等等(可供自行驗證)
4)尺寸大小:3mm×3mm(標準,可批量定制)
5)可檢分子:染料、農殘、毒品、爆炸物、化學戰劑、病毒/細菌等生物分子
SERS增強襯底SEM圖
02、產品特色
背景潔凈
制備過程無添加任何表面活性劑或配體,無任何背低信號干擾,目標分子特征峰顯著;活性點位充足,分子吸附性強,更易于實現痕量物質(ppb)的檢測。
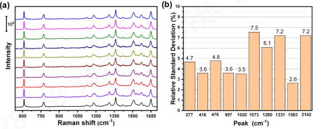
信號一致性高(RSD≈3%)
特殊的物理制備工藝下襯底具備高度的均勻性,同一甚至不同芯片在各位置收集的 SERS 圖譜具有極高的一致性,使實驗結果更加可信。
增強效果佳
基于微納分級式結構下襯底富含大量的 SERS“熱點”,增強效果遠遠領先于目前行業水平。
03、產品應用
拉曼分子探針
適用于常見的染料分子、巰基化合物等拉曼探針分子,進而評估 SERS 襯底的拉曼活性。
農藥殘留
可實現幾乎所有種類包括違禁農藥的痕量檢測,例如三唑磷、克百威、滅多威、毒死蜱、乙酰甲胺磷、涕滅威、甲拌磷、三唑磷、羥基克百威、涕滅威砜、涕滅威亞砜、甲拌磷砜、甲拌磷亞砜等。
毒品
根據司法部《毛發中 15 種毒品及其代謝物的液相色譜-串聯質譜檢驗方法》中涉及的毒品種類,均可采用本產品進行高效檢出,檢出限可低至 0.1ng/mL,適用于體液(血液/淚液/尿液)、毛發甚至各水體存在的毒品或代謝物殘留。(毒品:嗎啡、可待因、氯胺酮、單乙酰嗎啡、甲基苯丙胺、苯丙胺、去氧麻黃堿外消旋體鹽酸鹽、可卡因等等)。
細菌、病毒、病原體、細胞等生物標志物
除以上主要應用場景外,醫療衛生領域例如對癌細胞、細菌等檢測亦可實現。
維納物聯表面增強拉曼散射(SERS)襯底已上架淘寶店鋪和微信商城,歡迎各位老師和同學進行選購。