
(元琛科技)聚苯硫醚(PPS)纖維濾料被廣泛用于工業爐窯煙氣袋式除塵,在復雜工況服役過程中需承受各種載荷作用,拉伸載荷最為常見。
聚苯硫醚(PPS)纖維濾料本質上為針刺非織造材料。將PPS短纖維經開松、混合、精開松、梳理、鋪網、基布放卷、針刺、后處理等工序制作成濾料。
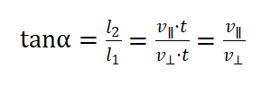
PPS纖維經過梳理機梳理,單纖維軸向與纖網軸向一致,纖維間首尾相連,形成單層纖網。如圖1所示,纖網隨鋪網小車往復鋪網(鋪網小車速度為),并跟隨傳送簾向前移動(速度為),如此交叉鋪網,纖維軸向(纖網軸向)與濾料軸向(纖網運動方向)成一定角度(纖維取向角)。
假設濾料幅寬為ι1,對應鋪網時間為τ,向前移動距離為ι2。則:
經計算,PPS纖維取向角為5~15°。由此可見,濾料中纖維取向幾乎與濾料橫向一致,經針刺后,橫向強度必然遠大于縱向,因此需在兩層纖網之間添加平紋機織布,以提供經向強力。
假設PPS纖維經梳理后纖維順直,忽略纖維自身卷曲,且經刺針鉤刺后,纖維隨刺針倒刺上下移動呈現波浪形狀而纖維本身不發生移動或糾纏,如圖所示。
實際上,PPS纖維經梳理機梳理并非完全成相互順直、平行的單纖維狀態,兩層纖網與基布經針刺纏結后,隨著濾料的牽伸,單纖維在濾料結構中空間狀態較為復雜,難以結構化建模。因此,從纖維細觀角度直接分析宏觀濾料的拉伸強度特征較為困難。
從宏觀角度,忽略纖維的空間路徑與纏結,將濾料看成一個整體。濾料與普通二維織物不同,其在厚度方向上存在“纖維層—基布層—纖維層”的三級結構,且厚度不可忽略,可認為是一種三維織物。由于濾料在x,y,z方向的結構各有不同,因此濾料是正交各向異性材料,示意圖如上圖所示。(元琛科技)